[고등수학 개념정리] 조합이란? – 친절샘과 함께 순서 없이 고르는 법 익히기!
안녕하세요, 수학을 쉽게 알려주는 여러분의 수학선생님 친절샘입니다 😊
이번 시간에는 경우의 수 단원에서 순열과 함께 가장 중요한 개념 중 하나인
바로 **조합(combination)**에 대해 공부해볼 거예요.
“순열은 좀 알겠는데, 조합은 뭐가 다른가요?”
“조합은 공식만 외우면 되나요?”
이런 질문을 많이 받아요.
오늘은 그런 혼동을 확실하게 정리해드릴게요!

2분할 수학노트로 수학공부 열심히 해보세요!!!
https://smartstore.naver.com/muadeep/products/11680558051
2분할 수학노트 아이코닉 오납노트 베이직 : 무아딥
[무아딥] 소품 전문점
smartstore.naver.com
✅ 조합이란?
조합이란, 순서를 고려하지 않고, 정해진 수만큼 선택하는 경우의 수를 말해요.
예: A, B, C 세 사람 중 2명을 뽑는다고 할 때
AB와 BA는 같은 조합입니다.
순서가 중요하지 않기 때문에, 한 번만 세요!
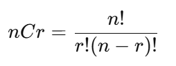
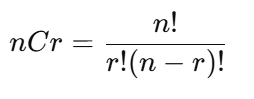
✅ 조합의 공식
n개의 항목 중에서 r개를 순서 없이 고르는 경우의 수는 다음과 같습니다.

- n: 전체 항목 수
- r: 선택할 항목 수
- !: 계승(factorial), n! = n × (n-1) × (n-2) × … × 1
📘 예제 1
5명 중에서 2명을 뽑는 경우의 수는?

✅ 정답: 10
✅ 조합과 순열의 차이
| 순서 | 중요함 | 중요하지 않음 |
| 예 | AB ≠ BA | AB = BA |
| 공식 | nPr = n! / (n - r)! | nCr = n! / (r! (n - r)!) |
✔ 조합은 순열보다 같은 경우를 덜 세므로 값이 더 작아져요.
📘 예제 2
4명의 학생 중에서 2명을 뽑아 대표로 선정한다면?
→ 순서 없음 → 조합

✅ 정답: 6
✅ 조합의 성질
조합에는 알아두면 유용한 성질이 있어요!
- 대칭성

→ 5C2 = 5C3 (둘 다 10)
- 전체 조합의 합

예) 3C0 + 3C1 + 3C2 + 3C3 = 1 + 3 + 3 + 1 = 8 = 2³
📘 예제 3
7명 중에서 3명을 뽑는 조합과 4명을 뽑는 조합은 같을까요?
→ 7C3 = 7C4
→ 맞아요! 대칭성 성질 적용
✅ 정답: 같음
📘 예제 4
어떤 반에 6명의 학생이 있어요.
이 중 4명을 뽑아 조를 구성하는 방법의 수는?

✅ 정답: 15
✅ 조합 활용: 조건부 선택
예제 5
7명 중에서 A는 반드시 포함되도록 3명을 뽑는 경우의 수는?
- A는 이미 선택 → 나머지 2명을 6명 중에서 선택

✅ 정답: 15
예제 6
8명 중에서 A와 B는 함께 뽑히지 않도록 3명을 선택하는 경우의 수는?
- 전체 경우의 수: 8C3 = 56
- A와 B가 함께 포함된 경우: A, B 포함 → 6명 중 1명 선택 → 6C1 = 6
- 조건을 만족하는 경우의 수: 56 - 6 = 50
✅ 정답: 50
🧩 실전 연습문제
문제 1
10명 중에서 4명을 뽑는 조합의 수는?

문제 2
6명의 친구 중 2명을 골라 짝궁을 정하는 경우 (순서 없음)
→ 6C2 = 15
문제 3
9명 중 A와 B는 동시에 포함되지 않게 3명을 뽑는 방법의 수는?
- 전체: 9C3 = 84
- A와 B 포함된 경우: 7C1 = 7
→ 정답: 84 - 7 = 77
✅ 친절샘의 마무리 요약 😊
✔ 조합이란?
→ 순서를 고려하지 않고 선택하는 경우의 수
✔ 공식은?

✔ 순열과의 차이
→ 조합은 중복을 제거하여 계산함 (순서 무시)
✔ 조합 문제는 보통 다음과 같은 말이 힌트예요:
- “같은 조”
- “함께 뽑기”
- “선정”, “구성”, “무작위로 고르기” 등
✔ 조건이 붙을 때는 반드시 전체 - 조건 제외 또는 경우 나누기 방식으로 접근하세요!
'수학 > 공통수학1' 카테고리의 다른 글
| 조합의 활용 - 고등학교 공통수학 1 (0) | 2025.03.29 |
|---|---|
| 조합의 성질 - 고등학교 공통수학 1 (0) | 2025.03.29 |
| 순열의 활용 - 고등학교 공통수학 1 (1) | 2025.03.29 |
| 계승, 팩토리얼(!) - 고등학교 공통수학 1 (0) | 2025.03.29 |
| 순열이란 - 고등학교 공통수학 1 (0) | 2025.03.29 |